App ID:FLM-B230016
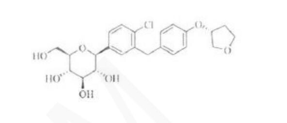
恩格列凈手性異構體分析
方法:自訂
色譜柱:Chiral INC 5u 250*4.6mm (貨號 FMG-JY5-I03)
流動相:正相
評語:采用該款色譜柱對恩格列凈異構體分析分離度和峰型能完全滿足檢測的要求,同比市面其它同款手 性柱性價比更高。
本案例及評價來自知名藥企
色譜柱|高效液相柱|手性柱|氣相柱|SPE|制備柱
App ID:FLM-B230016
恩格列凈手性異構體分析
方法:自訂
色譜柱:Chiral INC 5u 250*4.6mm (貨號 FMG-JY5-I03)
流動相:正相
評語:采用該款色譜柱對恩格列凈異構體分析分離度和峰型能完全滿足檢測的要求,同比市面其它同款手 性柱性價比更高。
本案例及評價來自知名藥企

掃一掃,添加菲羅門公眾號